How Fast Is Climate Change Accelerating?
Evidence for Non-Linear Forcing, Collapsing Doubling Times, and Runaway Feedback Dynamics

By Daniel Brouse and Sidd Mukherjee
Ongoing study

Abstract

Emerging evidence from observational climate science, global satellite datasets, and physical modeling shows that climate change is not progressing linearly but is instead accelerating in a non-linear, often exponential manner. The concept of "doubling time"--commonly applied in population biology and atmospheric physics--has become a central metric for gauging the rate of intensification of climate-forced phenomena. Over three decades of analysis, we find that doubling times across major climate indicators are collapsing, with profound implications for ecosystem stability, infrastructure resilience, global health, and habitability. This paper synthesizes multi-decadal evidence supporting the hypothesis that climate change is accelerating at a rate faster than previously predicted, driven in large part by interconnected tipping points and feedback loops.

1. Origins of the Hypothesis

In the 1990s, we proposed that anthropogenic climate change would progress through non-linear acceleration, rather than the gradual, near-linear trajectory assumed by early climate models. Through a combined program of observational fieldwork, laboratory instrumentation, analytical modeling, and theoretical physics, we developed the first empirical evidence that human-driven radiative forcing would cause multiple components of the climate system to accelerate exponentially. Our findings suggested that key variables--including sea-level rise, extreme-event frequency, and cryospheric decay--would undergo progressively shorter doubling times as interacting feedback loops strengthened over time.

By the early 2000s, the theory had gained empirical grounding. Early observational data from sea-level rise (SLR), atmospheric greenhouse gas (GHG) accumulation, and extreme weather frequency all showed curvature inconsistent with linear change. Today, three decades later, the global observational record shows unambiguous confirmation: nearly all major indicators of climate instability are accelerating.

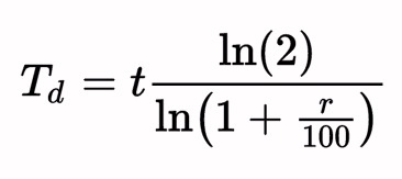
Doubling Time Formula

2. Exponential Acceleration and Collapsing Doubling Times

2.1 Early Estimates (1990s-2000s)
Our initial analyses estimated that sea-level rise (SLR) had a doubling period of approximately 100 years. At the time, SLR was approximately 1.5 mm per year, driven by modest thermal expansion and early stages of glacial melt.

2.2 Mid-2010s to 2020: Confirmed Acceleration
By the 2010s, satellite altimetry and improved ocean heat content measurements revealed a rapidly shrinking doubling time. SLR had accelerated to 3+ mm per year, halving the doubling time from 100 years to roughly 20-30 years.

2.3 2024-2025 Observations: Doubling Time Collapse
New analyses released in 2024 and 2025 show global mean SLR reaching 5-6 mm per year, the highest annual rise in the satellite record. This constitutes not only a doubling of the early-2000s rate, but a collapse in doubling time from 100 years to closer to 8-10 years.

2.4 Implications of Exponential Growth
If a parameter doubles every 8-10 years:
2x increase → ~8 years
4x increase → ~16 years
8x increase → ~24 years
64x increase → ~48 years
And this projection is conservative--it assumes the doubling time does not shrink again due to tipping-point-triggered accelerations.

Given that many tipping elements (e.g., Greenland melt, Antarctic shelf instability, permafrost collapse) are now displaying thresholds of instability, further reductions in doubling time remain highly plausible.

3. Extreme Events: Statistical and Physical Acceleration

3.1 Extreme Heat
Heatwaves that were once 500-year events now occur every 5-10 years, and in many regions annually.

The 2023 European heat anomalies of 2-7°F (1-4°C) above norms produced a tripling of heat-related mortality, revealing strong non-linear physiological sensitivity.

Each 1°C atmospheric increase raises water vapor capacity by ~7%, amplifying humidity, intensifying storms, and increasing wet-bulb mortality risk.

3.2 Extreme Rainfall, Storms, and Flooding
Warmer oceans and atmospheric rivers are delivering rainfall intensities beyond historical precedent.

Hydrodynamic forces scale as velocity2, and water is over 800x denser than air--meaning small increases in flow speed translate into massive increases in destructive power.

In the U.S., "1,000-year floods" (e.g., Chapel Hill) now recur every 5-20 years.

3.3 Wildfires and Brown Carbon Feedbacks
Heat, drought, and lightning have fueled unprecedented wildfire seasons.

Canada's 2023 wildfire season was the most destructive in its national record.

Wildfire smoke amplifies warming via brown carbon, further collapsing doubling times for temperature anomalies over land.

4. Jet Stream Destabilization and the Emergence of Persistent Resonance Patterns

Warming oceans and amplified Arctic temperatures are flattening the pole-to-equator gradient that stabilizes the jet stream. Result:
  • Persistent heat domes
  • Stalled storm systems
  • Prolonged flooding and drought cycles
  • Record-breaking stationary high-pressure blocks

These behaviors indicate that the jet stream is transitioning into a new dynamical regime in which resonant planetary waves become locked in place--an outcome predicted for decades but now seen in real time.

5. Global Temperature Overshoot and the Tipping Cascade

Global surface temperatures in 2023 exceeded 3°C above pre-industrial during several peaks--double the Paris Agreement threshold. Crossing the 2°C line risks triggering:
  • Accelerated permafrost thaw and methane release
  • AMOC slowdown or partial collapse
  • Rapid Greenland mass loss
  • Antarctic ice-shelf destabilization
  • Amazon rainforest dieback
  • Boreal forest transition to net carbon source

These cascading failures constitute a domino effect, wherein each tipping element accelerates the next. The aggregate risk is a forced warming trajectory toward 4-6°C this century, rendering broad regions of the planet uninhabitable.

6. Rewriting the Definitions of "Normal" and "Extreme"

As climate acceleration increases:
  • A "1,000-year flood" becomes a 10-20-year event.
  • Infrastructure designed for 20th-century extremes is now catastrophically under-built.
  • Insurance markets are collapsing in multiple U.S. states and many coastal regions worldwide.
  • Agricultural stability is declining due to synchronized heat events and hydrological extremes.
  • Climate change is no longer a gradual process--it is a systemic destabilization unfolding at exponential speed.

7. Conclusion

Three decades of observational data confirm our initial hypothesis: climate change is accelerating non-linearly, driven by tightly coupled feedback loops and collapsing doubling times across multiple Earth-system variables. The rapid compression of doubling periods--from centuries to decades to single-digit years--indicates that the Earth system is moving toward a phase of runaway change.

The urgency is clear: without immediate and sustained global action to halt greenhouse gas emissions and stabilize Earth-system feedbacks, the accelerating trajectory of climate impacts will overwhelm adaptation capacity and threaten global societal stability within the current century.

Further Resources

Tipping Cascades: The Nonlinear Dominoes of Climate Collapse

Ignite a Domino Effect: Albedo, Brown Carbon, AMOC, Permafrost, Amazon Rainforest Dieback, Sea Level Rise Pulses, Hydroclimate Whiplash, and Arctic Sea Ice

Tipping Points and Feedback Loops are critical to understanding the Domino Effect of Climate Collapse.

The Human Induced Climate Change Experiment

Original Acceleration Paper

The Philadelphia Spirit Experiment Publishing Company
These graphics, images, text copy, sights or sounds may not be used without our expressed written consent.